Цель настоящей статьи – обмен опытом преподавания дисциплины «Информационно-коммуникационные технологии в профессиональной деятельности». Рассматриваются решения профессиональных задач в Excel для специальности «Земельно-имущественные отношения» в системе СПО, второй курс обучения.
Настоящая методическая разработка состоит из презентации к уроку (Презентация) и двух приложений: технологическая карта урока (Приложение 1), методические указания к работе, выходной анкета обучающегося, бланк отчета, критерии оценки работы (Приложение 2).
Тема занятия – «Решение профессиональных задач в Excel: прямая и обратная геодезические задачи».
Из курса геодезии обучающимся известны алгоритмы решений прямой и обратной геодезической задач: по этой теме они сдавали расчетную работу, выполненную с помощью калькулятора.
Основная образовательная цель занятия – познакомиться с технологией решения в Excel основой прямой геодезической задачи и самостоятельно создать программу для решения обратной задачи.
Занятие – два спаренных урока. Первая половина занятия посвящена повторению материала по геодезии и информатике, а также разбору примера решения прямой геодезической задачи, выполненной самостоятельно двумя студентами при подготовке к уроку. Вторая половина занятия – выполнение практической работы по описанию каждым обучающимся, анализ результатов работы, формулировка выводов.
Вид занятия – практическая работа с элементами развивающего урока.
Под развивающим обучением понимается активно-деятельностный подход обучения, идущий на смену объяснительно-иллюстративному способу. В технологии развивающего обучения обучающемуся отводится роль самостоятельного субъекта, взаимодействующего с окружающей средой.
Используются следующие приемы развивающего урока: проблемные вопросы, востребованность опыта учащихся, выполнение исследовательского задания, решение практической задачи.
Занятие готовится при активном участии лучших студентов группы. Под руководством преподавателя была проведена серьезная подготовка к уроку:
- создана программа для решения прямой геодезической задачи, начиная от формулировки задания до обработки 5 вариантов типовой задачи;
- подготовлен краткий устный доклад об основных этапах написания программы и ее тестировании;
- подготовлены иллюстрации для презентации к уроку и краткий устный доклад по основным терминам геодезии.
Презентация является стержнем занятия: занятие построено на обсуждении материала слайдов; большой объем материала обрабатывается с помощью презентации быстро и эффективно.
Материал для повторения включает в себя основные термины по геодезии, формулировки геодезических задач, математическую модель прямой задачи, а также этапы решения задач с помощью ЭВМ.
Новый материал включает в себя решение прямой геодезической задачи в Excel от разработки структуры шапки таблицы до демонстрации действующей программы.
Для поддержания активности студентов и темпа урока преподаватель использует различные проблемные и контрольные вопросы, на долгих паузах предлагает несколько вариантов ответа, постоянно опирается на востребованные знания обучающихся по геодезии, информатики и ИКТ.
Наглядные успехи сверстников в создании сложной электронной таблицы являются мощным рычагом для саморегуляции остальных обучающихся.
Перед обучающимися ставится задача (слайды 11-13) – создать программу для решения обратной геодезической задачи. Задача решается поэтапно, ее решение — четыре взаимосвязанные электронные таблицы.
Преподаватель демонстрирует работу действующей программы. Затем обучающимся выдаются методические указания в электронном виде (файл МУ).
Преподаватель объясняет, как работать с методическими указаниями.
В методических указаниях для каждой таблицы дана структура в виде шапки таблицы, вид формул для ввода. От обучающихся требуется создать и отформатировать шапку таблицы, ввести в первую строку все формулы, протестировать формулы при известных исходных данных и результатах вычисления (оперативное тестирование); выполнить копирование формул. При необходимости исправить ошибки и еще раз протестировать. Результаты на каждом этапе рекомендуется предъявлять преподавателю.
На экране монитора у обучающегося два окна рядом: окно с методическими указаниями и окно Excel.
Преподаватель объясняет, где разместить результаты работы в электронном виде. По окончании работы обучающемуся следует заполнить выходную анкету и бланк отчета о проделанной работе. Все файлы (практическая работа, анкета и отчет) размещаются в папке с именем обучающегося, которая сбрасывается в Общую папку для преподавателя, а также копируются на флэшку обучающегося.
Преподаватель озвучивает критерии оценки работы:
- «Удовлетворительно»: созданы все таблицы, протестированы, имеются 1-2 недочета, форматирование выполнено минимально (в виде границ). Отчет по работе не представлен. Анкета заполнена.
- «Хорошо»: все таблицы созданы и протестированы; форматирование минимально
(в виде границ). Отчет по работе представлен. Анкета заполнена. - «Отлично»: все таблицы созданы и протестированы; форматировано выполнено полностью и подчеркивает логическую структуру таблицы. Отчет по работе представлен. Анкета заполнена.
Преподаватель напоминает, что практическая работа прекращается за 15 минут до звонка.
Обучающиеся приступают к практической работе.
Преподаватель контролирует ход выполнения работ, следит за его темпом, по мере необходимости консультирует обучающихся и выставляет предварительную оценку, создает для себя банк типовых ошибок обучающихся.
За 15 минут до окончания занятия практическая работа прекращается, преподаватель выдает домашнее задание (слайд № 13) и делает обзор общих ошибок, сообщает предварительные оценки, напоминает, что отчет по работе и выходную анкету следует сдать за один день до следующего занятия.
Окончательная оценка выставляется на следующем занятии.
На следующем занятии 15 минут отводится на подведение итогов. По слайдам № 14-17 еще раз озвучиваются названия использованных функций, и основных операций (слайды 18-21). На этом изучение темы Excel заканчивается. Оценки выставляются в журнал.
Анализ выходных анкет позволил сделать следующие выводы:
- Интегративные задания (геодезия-информатика) изменили характер повторения и объяснения нового материала: обычное изложение уступило место диалогу преподаватель — студенты, перевело обсуждение проблемы на новый уровень – «на равных», что привело к дальнейшей активной работе обучающихся и их высокой самооценке.
- Были достигнуты цели: образовательные и развивающие (все успешно выполнили практическую работу, оформили отчет, сделали самоанализ и самооценку, активно участвовали в обсуждении), воспитывающие (обучающиеся активно сотрудничали в паре и с преподавателем, проявили себя как ответственные и вдумчивые работники). Большая гордость за студентов, участвовавших в подготовке урока.
- Использованные дидактические материалы: презентация, программы-образцы, методические указания, – позволили провести урок эффективно. Проработан большой объем материала по геодезии и информатике, выполнена практическая работа в Excel. Технические средства: видеопроектор и компьютерная сеть — обеспечили наглядность материала в ходе его изложения и обсуждения, а также скорость обработки результатов в электронном виде (заполнение анкет и бланка отчета), обеспечили возможность копирования файлов для окончательной доработки темы дома.
- Использование наряду с классической практической работой элементов развивающего обучения позволило повысить активность обучающихся и их интерес к программе Excel, дисциплине в целом, к профессии.
- Домашнее задание было выполнено, некоторые обучающиеся выполнили его во время практической работы.
- Применяется дифференцированный подход в обучении. Предоставление права выбора работы в паре дает слабым студентам чувство уверенности и возможность подтянуться до нужного уровня. Обучающимся дается возможность повысить оценку путем усовершенствования программы.
- Применяются
- приемы, направленные на выработку понятий и определений;
- приемы, направленные на поиск сходства и различия с явлениями, изученными ранее;
- поэтапная постановка проблем, обсуждение и формулировка выводов;
- анализ и поиск ошибок, меры предупреждения ошибок;
- демонстрация действующих программ как главное средство для саморегуляции обучающихся.
Добро пожаловать!
Войдите или зарегистрируйтесь сейчас!
Войти
Страница 7 из 12
-
Команда форума
Форумчанин- Регистрация:
- 10 дек 2008
- Сообщения:
- 16.864
- Симпатии:
- 4.744
Это круто! Всякие такие-сякие программки по переводу координат по сравнению с этим шедевром, как 2+2. Эти формулы в нынешнюю школьную программу не входят?
#121
-
Форумчанин
- Регистрация:
- 4 июл 2012
- Сообщения:
- 1.492
- Симпатии:
- 1.082
- Адрес:
-
οἰκουμένη
Раскрыть Спойлер
Свернуть Спойлер
Ну, эксель круче сей с двумя плюсами)))))))))))))))))))))))
#122
-
Форумчанин
- Регистрация:
- 29 июн 2011
- Сообщения:
- 890
- Симпатии:
- 579
- Адрес:
-
Витебск
vladik,
ОГЗ с раскрытыми формулами:
легче усвоить и понять имея образец ( пусть и примитивный) перед глазами…Вложения:
#123
мирось и Lex K-G нравится это.
-
Форумчанин
Вы абсолютно правы. И по своей сложности он не уступает русскому языку, ибо в нем полно вещей, которые невозможно понять, можно только запомнить.
#124
-
- Регистрация:
- 26 дек 2013
- Сообщения:
- 2
- Симпатии:
- 0
Кто знает, как мне сделать перевод в градусы там где альфа. Все нужно оформить в таблицу excel .
Вложения:
#125
-
Форумчанин
- Регистрация:
- 3 сен 2009
- Сообщения:
- 115
- Симпатии:
- 140
- Адрес:
-
Липецк
Эти формы для ручного вычисления.
Excel подгонять под эту таблицу бессмысленно.
Результат в файле.Вложения:
#126
-
- Регистрация:
- 26 дек 2013
- Сообщения:
- 2
- Симпатии:
- 0
о, спасибо большое за ответ и за формулу. Такое уж задание дали в университете
Спасибо еще раз#127
-
Форумчанин
- Регистрация:
- 3 сен 2009
- Сообщения:
- 115
- Симпатии:
- 140
- Адрес:
-
Липецк
По просьбе Evgeniy76 подготовил шаблон для определения отклонений от проекта, по координатам:
Данные вводить в жёлтые ячейки.
1- таблица старая (факт-съёмка)
2- с проектными координатами и расчётами
3- разница 1 и 2 таблицы, отклонения от проекта
4- ВРУЧНУЮ. Разница-сумма введённых углов и углов из таблицы 1. (используйте галочки и переключатели)
5- таблица с произвольным выбором углов из первой таблицы
Сделал всё на одном листе, смотрится громоздко. Лишние таблицы можно скрыть, используя структуру (нажать на «+» вверху).#128
-
Форумчанин
- Регистрация:
- 4 июл 2012
- Сообщения:
- 1.492
- Симпатии:
- 1.082
- Адрес:
-
οἰκουμένη
Ув. kub13, а сам файл Вы нам покажете?
#129
-
Форумчанин
- Регистрация:
- 3 сен 2009
- Сообщения:
- 115
- Симпатии:
- 140
- Адрес:
-
Липецк
Это просто, я использовал, обещанный способ загрузки файла методом перетаскивания из проводника. Файл при предварительном просмотре появился. Куда ушёл, не знаю? Придётся использовать старый метод.
Вложения:
#130
-
Форумчанин
- Регистрация:
- 28 май 2012
- Сообщения:
- 1.765
- Симпатии:
- 652
- Адрес:
-
Маськва
Есть прямоугольные координаты множества точек X, Y в WGS84 в текстовом виде столбиками или сразу в Excel. Как бы попроще получить координаты в градусах всех этих точек? Можно средствами Excel?
Не доводилось до сих пор этим заниматься, не соображу.#131
-
Форумчанин
- Регистрация:
- 24 апр 2012
- Сообщения:
- 570
- Симпатии:
- 49
#132
АлексЮстасу нравится это.
-
Форумчанин
- Регистрация:
- 28 май 2012
- Сообщения:
- 1.765
- Симпатии:
- 652
- Адрес:
-
Маськва
Убогие мы… Ни Фотомода, ни геокалькуляторов — темнотаааа…
#133
-
Команда форума
Форумчанин- Регистрация:
- 18 май 2007
- Сообщения:
- 21.338
- Симпатии:
- 6.810
- Адрес:
-
Россия
#134
АлексЮстасу нравится это.
-
Форумчанин
- Регистрация:
- 28 май 2012
- Сообщения:
- 1.765
- Симпатии:
- 652
- Адрес:
-
Маськва
А, понял! Спасибо, попробую, но завтра — с данными.
#135
-
Форумчанин
- Регистрация:
- 28 май 2012
- Сообщения:
- 1.765
- Симпатии:
- 652
- Адрес:
-
Маськва
Попробовал — работает
Небольшие засады, связанные с форматом долгот-широт. Можно ли форматом как-то управлять? Например, этот геокалькулятор выдал секунды до четырех знаков. А нужно до двух. Или геокалькулятор приписывает в конце «N» и «E», а нужно в начале «с» и «в». Или нужно, чтобы минуты и секунды, если они меньше 10, записывались с нулем впереди, например 61 24 5.34 записывалось 61 24 05.34, а 45 3 34.76 записывалось 45 03 34.76. Первые две засады достаточно легко решаются в Excel, а с третьей не знаю, как совладать.
В любом случае повозиться приходится.
И выдирать из файла координаты, где есть много еще что, кроме координат, а потом внедрять обратно — тоже требует возни.
В целом — задача перевода из прямоугольных координат в широты-долготы попроще задач геокалькулятора. Я надеялся, что уже есть что-нибудь в Excel.#136
-
Команда форума
Форумчанин- Регистрация:
- 18 май 2007
- Сообщения:
- 21.338
- Симпатии:
- 6.810
- Адрес:
-
Россия
АлексЮстасу, вообще-то замену в текстовом файле это 2 сек, я про N E
Ничего себе проще.
#137
-
Форумчанин
- Регистрация:
- 28 май 2012
- Сообщения:
- 1.765
- Симпатии:
- 652
- Адрес:
-
Маськва
Во-первых, как в текстовом файле заменить «N» и «E» в конце, на «с» и «в» в начале? Во вторых, про это уже написано: «Первые две засады достаточно легко решаются в Excel…»
Вроде бы частный случай проще общего?
#138
-
Команда форума
Форумчанин- Регистрация:
- 18 май 2007
- Сообщения:
- 21.338
- Симпатии:
- 6.810
- Адрес:
-
Россия
АлексЮстасу, выводит в текстовый файл? Если да то дайте кусочек из 3-5 строк.
#139
-
Форумчанин
- Регистрация:
- 28 май 2012
- Сообщения:
- 1.765
- Симпатии:
- 652
- Адрес:
-
Маськва
Данные, из которых нужно перевычислить в широты-долготы — Данные_проба.txt. Высоты в начале, x, y в конце.
Вычисленные широты-долготы — Данные_проба_координаты_B_L.txt.
Широты-долготы нужно вставить в поля Данные_проба.txt, где сейчас только «с» «в», ближе к концу. Причем, вместо «14 55 2.28917 N,106 5 2.10904 E» должно быть «с145502.28,в1060502.10».Здесь дело не в невозможности или крайней затруднительности, а в том, что достаточно простых действий все-таки много. И вместо одного Excel, в котором все равно нужно править, и в котором нужно все это сдавать, приходится использовать еще и Блокнот, и геокалькулятор.
Вложения:
#140
Страница 7 из 12
Поделиться этой страницей
Изображение слайда
ЦЕЛИ ЗАНЯТИЯ
Закрепить знания и умения работы в Excel
Познакомиться с технологией решения профессиональных задач в Excel на примере задач по геодезии.
Научиться организовывать свою работу от постановки цели и задач до самооценки выполненной задачи.
ЗАДАЧИ
Повторить термины из курса геодезии.
Познакомиться с решением в Excel прямой геодезической задачи.
Создать программу решения обратной геодезической задачи.
Оценить свою работу — заполнить анкету выходную.
Оформить отчет по практической работе – заполнить бланк отчета.
Изображение слайда
3
Слайд 3: ПРЯМАЯ ГЕОДЕЗИЧЕСКАЯ ЗАДАЧА Создание программы. Тестирование
Изображение слайда
ГЕОДЕЗИЧЕСКИЕ ЗАДАЧИ. ТЕРМИНЫ
Найдите на слайде объект или его обозначение :
Теодолитный ход и его направление.
Координатная плоскость, Координатные оси, четверти. Координаты точек.
Приращения координат.
Линия (сторона хода), ее длина и направление.
Горизонтальный угол.
Направления С, Ю, З, В.
Дирекционный угол (азимут).
Румб.
Точность теодолита.
Невязка углов и невязка координат.
β
r
r
t
f
α
Δ Y
Δ X
C -СВ-В-ЮВ-Ю-ЮЗ-З-С
Рис. 1
Рис. 2
Рис. 3
Изображение слайда
ГЕОДЕЗИЧЕСКИЕ ЗАДАЧИ
Дано :
β — измеренны е горизонтальны е угл ы
D — длин ы сторон теодолитного хода
α 1-2 — дирекционн ый угол начальной стороны
X1, Y1 — коррдинат ы первой точки теодолитног хода
Требуется определить: координаты всех точек т еодолитного хода. Построить теодолитный ход.
Прямая задача
Обратная задача
Дано :
X,Y — координаты точек
Требуется определить :
r — румбы
α — дирекционные углы для всех точек
β горизонтальные углы
D — длины сторон хода
Изображение слайда
ЭТАПЫ Р ЕШЕНИ Я ЗАДАЧ НА ЭВМ
Постановка задачи
Создание математической модели (алгоритм в виде формул)
Создание программы в Excel
Отладка программы. Тестирование оперативное и заключительное.
Решение типовой задачи
Изображение слайда
ПРЯМАЯ ГЕОДЕЗИЧЕСКАЯ ЗАДАЧА Математическая модель
Распределяем измеренную невязку с обратным знаком в виде поправок и получим исправленные углы.
По формуле α 2-3 = α 1-2 + 180⁰ — ß 2 вычисляем все дирекционные углы.
От дирекционных углов переходим к румбам.
Для румбов определяем косинус и синус.
I шаг. Оценка качества угловых измерений
Изображение слайда
ПРЯМАЯ ГЕОДЕЗИЧЕСКАЯ ЗАДАЧА Математическая модель и расчетные формулы
Определяем приращение координат (± Δ X = cos r * Д ); ( ± Δ Y = sin r * Д )
Расставляем знаки у приращений координат. Определяем Σ Δ Х = f x — невязка по оси « X »; Σ Δ У = f y — невязка по оси « Y »;
Определяем Р — периметр ( Σ Д ).
f x и f y распределяем с обратным знаком в виде поправок и получаем исправленные приращения координат.
Вычисляем координаты всех точек замкнутого теодолитного хода. По формуле: Х 2 = X 1 + Δ Х 1-2 ; Y 2 = Y 1 + Δ Y 1-2.
Если f отн < 1 / 2000, то качество линейных измерений удовлетворительное.
II шаг. Оценка качества линейных измерений
Изображение слайда
ПРЯМАЯ ГЕОДЕЗИЧЕСКАЯ ЗАДАЧА Математическая модель
III шаг. Строим план теодолитного хода по вычисленным на П–м этапе координатам. Математическая модель решения прямой задачи готова.
На уроках геодезии все расчеты и построение теодолитного хода выполнялись вручную. Данная математическая модель является алгоритмом для составления программы в Excel
Изображение слайда
ПРЯМАЯ ГЕОДЕЗИЧЕСКАЯ ЗАДАЧА Математическая модель — это алгоритм для программы в Excel
I шаг. Оценка качества угловых измерений
Расчет параметров :
Невязка f ß изм и ее сравнение с допустимой
Распределение невязки в виде поправки к углам
Дирекционные углы с учетом поправки
Румбы
II шаг. Оценка качества линейных измерений
Расчет параметров:
Приращения координат
Невязки по осям « X »и « Y »
Периметр ё
Распределение невязки в виде поправки приращений по осям
Приращения координат с поправками
Относительная невязка и ее сравнение с допустимой.
Вычисление координат точек
III шаг.
Определение координат
Построение плана теодолитного хода по вычисленным на координатам. Задача решена.
Изображение слайда
11
Слайд 11: ПРЯМАЯ ГЕОДЕЗИЧЕСКАЯ ЗАДАЧА Создание программы. Тестирование
Изображение слайда
ПРЯМАЯ ГЕОДЕЗИЧЕСКАЯ ЗАДАЧА Создание плана теодолитного хода – точечная диаграмма
Изображение слайда
13
Слайд 13: Пример действующей программы для решения прямой геодезической задачи. Проверка ее работоспособности
Кнопка вызова программы
Пример действующей программы для решения прямой геодезической задачи. Проверка ее работоспособности
Изображение слайда
Указания к работе
Составить программу решения обратной геодезической задачи.
Проверить работоспособность. Данные для тестирования взять в методических указаниях к работе.
Построить точечную диаграмму теодолитного хода.
Установить защиту программы.
Сохранить файл в общей папке и а флэшке.
Заполнить анкету и бланк отчета.
Обратная задача
Самостоятельная работа — решить обратную геодезическую задачу в Excel
Дано :
X,Y — координаты точек
Требуется определить :
r — румбы
α — дирекционные углы для всех точек
β горизонтальные углы
D — длины сторон хода
Изображение слайда
15
Слайд 15: Пример действующей программы для решения обратной геодезической задачи. Проверка ее работоспособности
Кнопка вызова программы
Пример действующей программы для решения обратной геодезической задачи. Проверка ее работоспособности
Изображение слайда
Методические указания и конечный продукт — ПРОГРАММА
Изображение слайда
КРИТЕТЕРИИ ОЦЕНКИ РАБОТЫ
« Удовлетворительно »: созданы все таблицы, протестированы, имеются 1-2 недочета, форматирование выполнено минимально (в виде границ). Отчет по работе не представлен. Анкета заполнена.
« Хорошо»: все таблицы созданы и протестированы,, имеются недочеты; форматирование минимально (в виде границ).
Отчет по работе представлен. Анкета заполнена.
« Отлично »: все таблицы созданы и протестированы; форматировано выполнено полностью и подчеркивает логическую структуру таблицы. Отчет по работе представлен. Анкета заполнена.
Изображение слайда
ДОМАШНЕЕ ЗАДАНИЕ
Какой параметр обратной геодезической задачи находится по формуле: =ЕСЛИ ( N10=0;»С»; ЕСЛИ ( И(N10>0;N10<ПИ()/2);»СВ ” ; ЕСЛИ ( N10=ПИ()/2;»В»; ЕСЛИ ( И(N10>ПИ()/2;N10<ПИ());»ЮВ»; ЕСЛИ ( N10=ПИ(); «Ю»; ЕСЛИ ( И(N10>ПИ();N10<1,5*ПИ());»ЮЗ»; ЕСЛИ(N10=1,5*ПИ();»З»; ЕСЛИ ( И(N10>1,5*ПИ();N10<2*ПИ());»СЗ» ) ) ) ) ) ) ) )
Усовершенствовать программу: помимо направлений СВ, ЮВ, ЮЗ, СЗ учесть еще четыре возможных направления: С, В, Ю, З.
Заполнить бланк отчета по практической работе.
Изображение слайда
Функции, используемые в программах
математические, статистические, логические
1 ) РАДИАНЫ (угол в градусах )
Действия над углами в Excel производятся в радианной мере :
минуты переводятся в градусы
суммируются с градусами,
переводятся в радианы
Пример :
D10 =РАДИАНЫ( B10+C10/60 )
В ячейке D10 угол в радианах
В ячейке B10 угол в градусах
В ячейке C10 угол в минутах
град
мин
рад
116
34,0
2,0344721
Аргумент функции всегда заключается в скобки
Изображение слайда
2) ГРАДУСЫ (угол в радианах)
Радианы переводятся в градусы (ГРАДУСЫ)
Выделяется целая часть градусов (ОТБ)
Дробная часть угла, выраженная в градусной мере, переводится в в минуты ( *60)
3 ) ОТБР (….) – функция, значение которой – целая часть вещественного числа.
Пример. :
В градусы: Q11
В минуты : R11
В ячейке P11 угол в радианах
В ячейке Q11 угол в градусах, нуль минут
В ячейке R угол в минутах
рад град мин
0,635300 36 24,0
Аргумент функции всегда заключается в скобки
=ОТБР(ГРАДУСЫ( P11))
=(ГРАДУСЫ( P11)-Q11)*60
Функции, используемые в программах
математические, статистические, логические (продолжение)
Изображение слайда
4) КОРЕНЬ(..) —
Извлечение квадратного корня, то же возведение в степень 0,5.
5) Сумм(.. : …) —
автосумма диапазона ячеек
6) ATAN(…) —
Возвращает угол по заданному значению его тангенса. Используется для перехода от тангенса румба к значению румба.
7) ABS (….) –
Абсолютная величина (модуль величины). Используется для вычисления тангенса рубма.
8 ) ЕСЛИ (условие; значение функции, если условие выполняется; значение функции, если условие не выполняется) —
логическая функция
для реализации структуры ветвление
9,10) И, ИЛИ
логические функции для реализации составного условия
Аргумент функции всегда заключается в скобки
Функции, используемые в программах
математические, статистические, логические (продолжение)
Изображение слайда
22
Последний слайд презентации: РЕШЕНИЕ ПРОФЕССИОНАЛЬНЫХ ЗАДАЧ В EXCEL : ПРЯМАЯ И ОБРАТНАЯ ГЕОДЕЗИЧЕСКАЯ ЗАДАЧИ
Ввод формул вручную и с помощью Мастера функций.
Копирование формул (с относительными адресами)
Вставка символов
Работа с листами
Форматирование ячеек:
объединение ячеек,
изменение направления текста
заливка, оформление границ,
изменение начертания шрифта,
установка индексов
Защита ячеек, защита листа, защита документа
ОПЕРАЦИИ, ИСПОЛЬЗУЕМЫЕ В РАБОТЕ
Изображение слайда

Рисунок 143 – Полученная сводная таблица
5. Результат с переименованными столбцами представлен на рисунке 144.
Рисунок 144 – Окончательный вид сводной таблицы
6. Разберитесь, как работает полученная сводная таблица.
Цель работы: рассмотреть прикладные задачи по специальности и выяснить, как их можно решать с помощью электронных таблиц Excel.
Обратная геодезическая задача заключается в вычислении дирекционного угла и расстояния R = | AB | по заданным на плоскости декартовым координатам x, y двух точек А и В. Дирекционный угол, в конечном итоге, должен быть представлен в градусной мере, как это принято в геодезии. Расстояние между точками определяется через найденный дирекционный угол.
Задание 1. Даны координаты 2-х точек х и у. Определить дирекционный угол прямой ху.
|
Используя исходные данные: а) |
X1 |
= 4608,35 |
Y1 |
= 4159,05 |
||
|
X |
2 |
= 5267,01 |
Y |
= 2501,18 |
||
|
2 |
||||||
|
X1 |
= 4299,05 |
Y1 |
=10859,16 |
|||
|
б) |
X 2 |
= 2727,40 |
Y2 |
=10590,88 |
Решение оформляется на листе электронной таблицы
122

Рисунок 145 – Лист расчета задачи в Excel
Рисунок 146 – Проверка расчетов в режиме Показать формулу
Рисунок 147 – Продолжение проверки в режиме Показать формулу
123
Соседние файлы в папке работы
- #
12.12.2021360.45 Кб14Database1.accdb
- #
12.12.202197.53 Кб57Excel Федореева.xlsx
- #
12.12.2021370.75 Кб32Excel_Fedoreeva.xlsx
- #
12.12.2021188.24 Кб34Exel Сыпачев.xlsx
- #
12.12.20214.9 Mб18georazvedka_2_0 (1).accdb
- #
- #
- #
12.12.20216.52 Mб21VBA_Nikityuk.xlsm
- #
12.12.20216.31 Mб15VBA_Селезнев.xlsm
- #
12.12.20212.15 Mб15VBA_сыпачев2.xlsm
- #
12.12.202180.1 Кб12бд для геофизики карта.grd
Решение геодезических задач с помощью языка программирования Turbo Pascal и табличного процессора Excel
Федеральное агентство образования и
науки Российской Федерации
Санкт-Петербургский государственный
горный институт им. Г.В. Плеханова
(технический университет)
КУРСОВАЯ РАБОТА
По дисциплине: Информатика
Тема: Решение геодезических задач
с помощью языка программирования Turbo Pascal и табличного процессора Excel
Автор: студент гр. ГГ-04-1
Трущелёв А.В.
Проверил:
Руководитель проекта, доцент
Санкт-Петербург 2005
Аннотация
Пояснительная записка представляет собой отчёт по курсовой работе на
тему: решение геодезических задач с помощью языка программирования Turbo Pascal и табличного процессора Excel. Отчёт оформлен в текстовом процессоре Microsoft Word.
Страниц 48, рисунков 13.
The summary
The explanatory note represents the report on course work on
a theme: the decision of geodesic problems with the help of programming
language Turbo Pascal and tabulated processor Excel. The report is made out in
word-processor Microsoft Word. 48, figures 13.
Оглавление
Введение
.
«Обратная геодезическая задача»
.1
Теоретические сведения
.2
Постановка задачи
.3
Исходные данные
.4
Блок схема для Turbo Pascal
.5
Текст программы
.6
Результат программы
.8
Анализ
.
«Прямая угловая засечка»
.1
Теоретические сведения
.2
Постановка задачи
.3
Исходные данные
.4
Блок схема для Turbo Pascal
.5
Текст программы
.6
Результат программы
.7
Вычисления MS Excel
.8
Анализ
.
«Теодолитный ход»
.1
Теоретические сведения
.2
Постановка задачи
.3
Исходные данные
.4
Алгоритм для Turbo Pascal
.5
Текст программы
.6
Результат программы
.7
Анализ
.
«Решение СЛАУ методом Гаусса»
.1
Теоретические сведения
.2
Постановка задачи
.3
Исходные данные
.4
Блок-схема для Turbo Pascal
.5
Текст программы
.6
Результат программы
.7
Табличные вычисления MS Excel
.8
Анализ
Заключение
Библиографический
список
Введение
Задание:
Составить программы с помощью языка программирования Turbo Pascal для решения геодезических задач: решение обратной
геодезической задачи, нахождение прямой угловой засечки, вычисление координат
теодолитного хода, решение системы линейных уравнений методом Гаусса.
В настоящее время компьютерные технологии на основе программирования
внедряются в различные сферы деятельности человека. Исключением не является и
маркшейдерское дело. Основной задачей маркшейдерского дела является составление
планов горных выработок. Для их создания маркшейдерам необходимо получать
координаты точек опорной сети. Процесс обработки материалов (камеральные
работы) становится более быстрым и менее трудоемким с внедрением программ для
решения геодезических задач. С помощью языка программирования Turbo Pascal можно составить программы для
решения почти всех маркшейдерских задач.
В данной курсовой работе основной целью является закрепление полученного
опыта работы с системой Turbo Pascal с помощью создания программ для камеральных работ. Проверка программ
проводится в табличном процессоре MS Excel.
1.
«Обратная геодезическая задача»
.1
Теоретические сведения
Обратная геодезическая задача заключается в вычислении дирекционного угла
a и расстояния R = | AB
| по заданным на плоскости декартовым координатам x, y двух точек А и В. Дирекционный угол, в
конечном итоге, должен быть представлен в градусной мере, как это принято в
геодезии. Расстояние между точками определяется через найденный дирекционный
угол.
Рис. 1.1
Пусть
даны две точки А и В (рис.1.1), координаты которых соответственно
Согласно
схеме, показанной на рис. 1.1., приращения координат определяются:
(1.1)
Затем
находят величину румба.

Далее
по знакам приращения координат находят название четверти, что, в свою очередь,
позволяет определить значение дирекционного угла (см. табл. 1.1).
Табл.
1.1
|
Знаки приращения координат |
Название четверти |
Формула дирекционного угла |
|
|
|
|||
|
+ |
+ |
I |
a |
|
— |
+ |
II |
a |
|
— |
— |
III |
a |
|
+ |
— |
IV |
a |
Горизонтальное расстояние между точками может быть определено по формуле:
(1.3)
или
по формуле:

Перевод
вычисленного дирекционного угла в градусную меру может быть выполнен различными
способами. Один из возможных способов следующий:
Переводим
величину a в градусную меру
;
Выделяем
целую часть ;
Вычисляем
остаток и переводим его в минуты
;
Вычисляем
целое число минут
;
Определяем
остаток минут, переводим в секунды и округляем до целого
.
Значение
дирекционного угла в градусах, минутах и секундах дают, соответственно,
значения переменных ag, am, as.
.2
Постановка задачи
Даны координаты 2-х точек A(х,y) и B(x,y). Определить дирекционный угол
прямой AB
.3
Исходные данные
А) X1=5119.94 Y1=6157.33
X2=7182.27
Y2=4976.39
В) Х1=10932.84 Y1=6112.26
X2=9115.24
Y2=4903.68
1.4 Блок
схема для Turbo Pascal
Рис. 1.2
var,x2,y1,y2,dir0,l,d,m,s,temp,r:real;RadToDeg(var
d,m,s,temp:real);:=(temp*180)/pi;:=int(temp);:=int((temp-d)*60);:=round((((temp-d)*60)-m)*60);;(‘Vvedite
koordinaty to4ek’);(‘x1=’);(x1);(‘y1=’);(y1);(‘x2=’);(x2);(‘y2=’);(y2);:=arctan(abs((y2-y1)/(x2-x1)));((y2-y1)>0)and((x2-x1)>0)
then dir0:=r;((y2-y1)>0)and((x2-x1)<0) then
dir0:=pi-r;((y2-y1)<0)and((x2-x1)<0) then
dir0:=pi+r;((y2-y1)<0)and((x2-x1)>0) then dir0:=2*pi-r;(d,m,s,dir0);(d:3:0,m:3:0,’`’,s:3:0,'»‘);:=sqrt(sqr(x2-x1)+sqr(y2-y1));(‘S=
‘,l:0:2);;.
1.6
Результат программы
A:
Vvedite koordinaty to4ek=5119.94=6157.33=7182.27=4976.39
12` 13″= 2376.52:koordinaty
to4ek=10932.84=6112.26=9115.24=4903.68
37` 16″= 2182.74
1.7
Вычисления MS Excel
Рис. 1.3.a Excel — вычисления
Рис. 1.3.б Excel — вычисления
Рис. 1.4 Excel
с открытыми формулами
1.8 Анализ
Обратная геодезическая задача была решена с помощью языка
программирования Turbo Pascal и с помощью табличного процессора Excel. Ответы сошлись.
2. «Прямая
угловая засечка»
.1
Теоретические сведения
Прямая
угловая (геодезическая) засечка — такое название носит способ определения
координат точки местности Р, если на плоскости дана система точек
геодезической сети с известными координатами
и на этих точках измерены горизонтальные углы
(рис.2.1.). Величины углов
в геодезии принято задавать в градусной мере.
Рис.
2.1. Схемы прямой геодезической засечки.
Большое
значение имеет величина угла при вершине треугольника — угла засечки g, от которого во многом зависит точность определения
координат. В инструкциях по проведению геодезической съемки указывается, что
угол засечки не должен быть меньше 30о и больше 150о.
Для
определения координат точки Р можно использовать формулы Юнга или
формулы Гаусса. Чаще используются формулы Юнга, которые еще называют формулами
котангенсов внутренних углов треугольника.
(2.1)
(2.2)
Широко
используются и формулы Гаусса. В этом случае исходными данными являются не
только координаты пунктов А1 и А2 и
измеренные горизонтальные углы b1, b2, но и вычисленный дирекционный угол a
стороны А1 А2.
(2.3)
(2.4)
Если
пунктов геодезической сети более двух (рис.2.1 б), то исходные данные
являются избыточными, т.к. для определения искомых координат точки Р
достаточно знать координаты и углы двух точек одного треугольника. Однако
решение прямой засечки только из одного треугольника является бесконтрольным.
Достаточно, например, выписать из каталога координату исходной точки с ошибкой,
как результат окажется совершенно неверным. По этой причине инструкции по
выполнению геодезических работ требуют, чтобы координаты точки Р
определялись как минимум из двух треугольников (или был организован какой-либо
другой контроль)
Избыточность исходных данных позволяет повысить надежность определения
окончательных значений искомых величин за счет применения правила
арифметического среднего.

, (2.6)
где
XP k,
YP k
координаты, определенные из k-того треугольника.
2.2
Постановка задачи
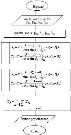
Определить координаты точки P по трем точкам с известными координатами и 4 углам. (2 треугольникам)
.3
Исходные данные
Вариант 9
|
№ п/п |
X, м |
Y, м |
B1, DDD MM SS |
B2, DDD MM SS |
|
1 |
5935.51 |
5441.24 |
98 4 30 |
|
|
2 |
5687.41 |
5172.76 |
63 0 12 |
41 54 46 |
|
3 |
5142.93 |
5460.08 |
54 19 48 |
2.4 Блок
схема для Turbo Pascal
Рис. 2.2.
2.5 Текст
программы
Program Zadacha2;
Var x,y,x1,x2,x3,y1,y2,y3,b11g,b11m,b11s,b12g,b12m,b12s,
b21g,b21m,
b21s,b22g,m,b22s,b1,b2,b3,b4,xp1,xp2,yp1,yp2,rad:real;Gradus_radian(var
g,m,s,rad:real);:=(g+(m/60)+(s/3600))*Pi/180;;x_y(var
x1,x2,y1,y2,b1,b2,x,y:real);:=(x1*cos(b2)/sin(b2)+x2*cos(b1)/sin(b1)-y1+y2)/(cos(b1)/sin(b1)+cos(b2)/(b2));:=(y1*cos(b2)/sin(b2)+y2*cos(b1)/sin(b1)-x2+x1)/(cos(b1)/sin(b1)+cos(b2)/(b2));;
Begin(‘**Koordinati tochek**’);
Writeln(‘Vvedite x1,y1’);(x1,y1);(‘Vvedite
x2,y2’);(x2,y2);(‘Vvedite x3,y3’);(x3,y3);
Writeln(‘**Izmerennie ugli pervogo treugolnika**’);(‘Pervij
ugol’);(‘G’);(b11g);(‘M’);
Readln(b11m);(‘S’);(b11s);(‘Vtoroj
ugol’);(‘G’);(b12g);(‘M’);(b12m);(‘S’);(b12s);
Writeln(‘**Izmerennie ugli vtorogo treugolnika**’);
Writeln(‘Pervij
ugol’);(‘G’);(b21g);(‘M’);(b21m);(‘S’);(b21s);(‘Vtoroj
ugol’);(‘G’);(b22g);(‘M’);(b22m);(‘S’);(b22s);_radian(b11g,b11m,b11s,b1);_radian(b12g,b12m,b12s,b2);_y(x1,x2,y1,y2,b1,b2,xp1,yp1);_radian(b21g,b21m,b21s,b3);_radian(b22g,b22m,b22s,b4);_y(x2,x3,y2,y3,b3,b4,xp2,yp2);
Writeln(‘**Koordinati tochki P**’);
x:=(xp1+xp2)/2;:=(yp1+yp2)/2;(‘x=’,x:4:3);(‘y=’,y:4:3);.
2.6
Результат программы
**Koordinati tochek**x1,y1
.51
.24×2,y2
.41
.76×3,y3
5142.93
.08
**Izmerennie ugli pervogo treugolnika**ugol
**Izmerennie ugli vtorogo treugolnika**ugol
**Koordinati tochki P**
x=5406.999=5932.281
2.7
Вычисления MS Excel
Рис. 2.3. Excel — вычисления
Рис. 2.4. Excel с открытыми
формулами
2.8 Анализ
Задача №2 (прямая угловая засечка) была решена с помощью языка
программирования Turbo Pascal и с помощью табличного процессора Excel. Ответы 2-х разных решений сошлись.
3.
«Теодолитный ход»
.1
Теоретические сведения
Теодолитная съемка относится к числу крупномасштабных и выполняется с
целью составления горизонтального плана равнинной местности, когда рельеф на
плане не отображается, или для составления кадастрового плана. Применяется при
картировании сравнительно небольших застроенных участков. Съемку выполняют с
точек геодезической сети, расположенных на участке, и точек съемочного
обоснования, координаты которых определяют путем проложения теодолитных ходов.
Теодолитный ход —
это полигон, представляющий собой систему ломаных линий, в котором
горизонтальные расстояния между всеми его смежными вершинами измеряются
стальными мерными лентами и рулетками, либо оптическими дальномерами, а
горизонтальные углы между смежными сторонами — техническими теодолитами
В зависимости от конструкции полигона, различают разомкнутый теодолитный
ход, начало и конец которого опираются на пункты геодезического обоснования (рис.3.1
а), замкнутый теодолитный ход (замкнутый многоугольник), примыкающий к
пункту геодезического обоснования (рис.3.1 б) и висячий (рис.3.1 в).


а)
б) в)
Рис.3.1. Схемы теодолитных ходов.
На рис. 3.1 точки опорной геодезической сети показаны квадратиками, а
точки, координаты которых требуется определить — черными кружочками. Отрезок
между опорными точками называется исходной (примычной) стороной, а угол между
ней и стороной теодолитного хода — примычным углом. На рисунке исходные стороны
показаны двойными линиями.
При создании съемочного обоснования теодолитной съемки, как правило,
используются разомкнутые ходы, начинающиеся и заканчивающиеся на разных опорных
точках. Замкнутые и, особенно, висячие ходы считаются ненадежными, так как
остаются незамеченными ошибки исходных данных и не контролируются
систематические ошибки линейных измерений.
Разомкнутый
теодолитный ход.
Создание съемочного обоснования заключается в закреплении на местности
новых точек и определении их координат. Если эти координаты определяются путем
проложения теодолитного хода, то работы состоят из нескольких последовательных
этапов. В данной курсовой работе будем рассматривать только последний этап —
вычисление координат искомых точек.
На
рис. 3.2 схематично представлен разомкнутый теодолитный ход. Заданы координаты
опорных точек баз AB и CD, длины сторон теодолитного хода и углы при вершинах
. Особо
подчеркнем, что все углы должны быть правыми.
Рис.3.2 Схема разомкнутого теодолитного хода.
Когда определяются прямоугольные координаты некоторой точки по известным
координатам другой, горизонтальному расстоянию и дирекционному углу, задачу
называют прямой. В нашем случае, для решения прямой задачи необходимо вначале
вычислить дирекционные углы a1 … an. Порядок вычисления дирекционного
угла был описан выше.
Из курса геодезии известно (и как следует из рис. 3.2), что
разность примычных углов должна быть равна разности дирекционных углов
примычных сторон. Однако, в силу ошибок измерения, это равенство практически
никогда не выполняется.
Разность между теоретическими положениями и результатами измерений
называется невязкой. В случае, когда она меньше допуска, в измеренные
величины вводят поправки таким образом, чтобы свести невязку к нулю. Сумма
поправок равна невязке по абсолютной величине и противоположна по знаку.
Формула для вычисления угловой невязки для левых по ходу углов
записывается следующим образом:
, (3.1)
где
aн —
дирекционный угол базы AB, ak — дирекционный угол базы CD. Углы при
вершинах теодолитного хода представлены в радианах.
Для
правых по ходу углов дирекционные углы в формуле меняются местами.
(3.2)
Угловую
невязку сравнивают с допустимой f доп,
определяют по формуле:
[рад.]
(3.3)
Если
угловая невязка в пределах допуска, то ее распределяют поровну во все
измеренные углы. По исправленным углам вычисляют дирекционные углы сторон
теодолитного хода. Для этого можно воспользоваться следующим соотношением:
(3.4)
где
— дирекционный угол последующей стороны хода,
— дирекционный угол предыдущей стороны,
— левый по ходу угол между этими сторонами. Если углы
по ходу правые, то угол вычитается.
Далее
вычисляются приращения координат:
(3.5)
Приращения
координат суммируются и вычисляются абсолютные линейные невязки по
соответствующим осям f x и f y.
(3.6)
XH,YH и Xk, Yk — координаты начальной и конечной точек хода.
Общая
абсолютная невязка и общая относительная невязка теодолитного хода,
соответственно:
(3.7)
Величина
допустимой относительной невязки определяется в соответствии с инструкцией по
топографической съемке [5]. Если допуски выполняются, абсолютные невязки по
осям распределяют пропорционально длинам сторон теодолитного хода и далее
определяют искомые координаты новых точек по следующим формулам:
(3.8)
Подтверждением
правильности вычисления является совпадение координат вычисленного значения
опорной точки в конце теодолитного хода и заданного в исходных данных.
3.2
Постановка задачи
Теодолитный ход. По заданным координатам 4х точек опорной геодезической
сети, длинам сторон теодолитного хода и измеренным углам, определить координаты
точек теодолитного хода.
.3
Исходные данные
Вариант 9
3.4
Алгоритм для Turbo Pascal
геодезический уравнение засечка теодолитный
1) Ввод координат известных точек (х1, х2, х3, х4, у1, у2, у3, у4.),
длин сторон и измеренных горизонтальных углов(вручную или из файла)
2) Вычисление дирекционных углов (процедура CoordToDirCorner)
) Перевод измеренных горизонтальных углов в радианы(Grad_to_rad)
) Вычисление углов хода и невязки хода
) Вычисление дирекционных углов
) Вычисление приращения координат
) Вычисление абсолютной линейной невязки и ее распределение
) Вывод х и у точек теодолитного хода
.5 Текст
программы
program teodxod;
var
sumx,sumy,fabs,fotn,sl,sx,sy,fx,fy,x1,x2,x3,x4,y1,y2,y3,y4,s1,s2,s3,s4,s5,AB,CD,dd,mm,ss,rad,fb :real;
i,j:integer;:string;:array[1..6,1..3] of real;:array[1..7]of
real;:array[0..5,1..2] of real;:array[1..5]of real;:text;
{Процедура перевода градусов в радианы}
procedure v_rad (var a,b,rad:real);:=(a+(b/60))*Pi/180;
end;
{Процедура вычисления дирекционных углов твердых сторон по их
координатам}
procedure dir_ugol(var
x1,x2,y1,y2,r:real);:=arctan((y2-y1)/(x2-x1));((y2-y1)>0)and((x2-x1)>0)
then r:=r;((y2-y1)>0)and((x2-x1)<0) then
r:=pi-r;((y2-y1)<0)and((x2-x1)<0) then
r:=pi+r;((y2-y1)<0)and((x2-x1)>0) then r:=2*pi-r;
end;
{Вводим данные с клавиатуры}
Writeln(‘Koordinaty tochek’);
Writeln(‘
koordinaty tochek 9505 «xxxxx.xx yyyyy.yy»‘);
Readln(x1,y1);
Writeln(‘
koordinaty tochek 9506 «xxxxx.xx yyyyy.yy»‘);
Writeln(‘
koordinaty tochek 9507 «xxxxx.xx yyyyy.yy»‘);
Readln(x3,y3);
Writeln(‘
koordinaty tochek 9508 «xxxxx.xx yyyyy.yy»‘);
Readln(x4,y4);(‘Vvedite dliny izvestnyh storon’);(‘9506 —
1’);(s[1]);(‘1 — 2’);(s[2]);(‘2 — 3’);(s[3]);(‘3 — 4’);(s[4]);(‘4 —
9508′);(s[5]);(‘Vvedite ugly’);(‘Stoim na tochke 9506’);
writeln(‘ na 9505 =’);(dd,mm);_rad (dd,mm,rad);
dir[1,1]:=rad;(‘ na 1=’);(dd,mm);
v_rad (dd,mm,rad);[1,2]:=rad;
Writeln(‘ Stoim na tochke 1’);(‘ na 9506 =’);(dd,mm);_rad
(dd,mm,rad);
dir[2,1]:=rad;(‘to 2=’);(dd,mm);_rad
(dd,mm,rad);[2,2]:=rad;(‘ Stoim na tochke 2’);(‘ на 1 =’);(dd,mm);_rad (dd,mm,rad);[3,1]:=rad; writeln(‘ на 3=’);(dd,mm);_rad (dd,mm,rad);
dir[3,2]:=rad;(Stoim na tochke 3′);(‘ na 2 =’);(dd,mm);_rad
(dd,mm,rad);
dir[4,1]:=rad;(‘ na 4=’);(dd,mm);
v_rad (dd,mm,rad);[4,2]:=rad;
Writeln(‘Stoim na tochke 4′);(‘ na 3 =’);(dd,mm);_rad
(dd,mm,rad);
dir[5,1]:=rad;(‘ na 9508=’);(dd,mm);
v_rad (dd,mm,rad);[5,2]:=rad;
Writeln(‘ Stoim na tochke 9508’);(‘ na 4 =’);(dd,mm);_rad
(dd,mm,rad);
dir[6,1]:=rad;(‘na 9507=’);(dd,mm);
v_rad (dd,mm,rad);[6,2]:=rad;
{конец ввода данных с клавиатуры}
dir_ugol (x1,x2,y1,y2,AB);
dir_ugol (x3,x4,y3,y4,CD);[1]:=AB;
Corners[7]:=CD;
{вычисление углов и невязки хода}
for i:=1 to 6
do[i,3]:=dir[i,2]-dir[i,1];:=(dir[1,3]+dir[2,3]+dir[3,3]+dir[4,3]+dir[5,3]+dir[6,3])-(corners[7]-corners[1]);fb<((pi*sqrt(6))/(60*180))
then for i:=1 to 6 do dir[i,3]:=dir[i,3]-fb/6;
{Вычисление дирекционных углов сторон теодолитного хода}
for i:=1 to 5
do[i+1]:=corners[i]+dir[i,3]-pi;[0,1]:=x2;[0,2]:=y2;i:=1 to 5 do {Вычисление приращения координат}[i,1]:=s[i]*cos(corners[i+1]);:=sx+points[i,1];[i,2]:=s[i]*sin(corners[i+1]);:=sy+points[i,2];
end;
{Вычисление абсолютной линейной невязки}
fx:=sx-(x3-x2);:=sy-(y3-y2);i:=1 to 5
do:=sl+s[i];:=sqrt(sqr(fx)+sqr(fy));:=fabs/sl;
{распределение невязки пропорционально приращениям по осям}
for i:=1 to 5 do[i,1]:=points[i,1]-(points[i,1]*fx/sx);[i,2]:=points[i,2]-(points[i,2]*fy/sy);;
for i:=1 to 5 do {Вычисление координат искомых точек}
begin[i,1]:=points[i,1]+points[i-1,1];[i,2]:=points[i,2]+points[i-1,2];;(‘Iskomye
velichiny’);i:=1 to 5 do(i,’-aya tochka x=’,(points[i,1]):0:2,’
y=’,(points[i,2]):0:2);;
end.
.6
Результат программы
Koordinaty tochek
koordinaty tochek 9505 «xxxxx.xx yyyyy.yy»
.69 28100.17
koordinaty tochek 9506 «xxxxx.xx yyyyy.yy»
.82 28100.76
koordinaty tochek 9507 «xxxxx.xx yyyyy.yy»
.11 29568.25
koordinaty tochek 9508 «xxxxx.xx yyyyy.yy»
392056.16 29216.14dliny izvestnyh storon
— 1
.93
— 2
.03
— 3
.78
— 4
.99
— 9508
.43ugly
Stoim na tochke 95069505 =
1=
.1na tochke 19506 =
2=
.7na tochke 21 =
3=
.9na tochke 32 =
4=
.5na tochke 43 =
9508=
.2na tochke 95084 =
9507=
.1velichiny
-aya tochka x=38446.33 y=28519.32
-aya tochka x=38431.07 y=29083.81
-aya tochka x=38291.15 y=29022.55
-aya tochka x=38149.37 y=28950.21
-aya tochka x=38124.11 y=29568.25
4.
«Решение СЛАУ методом Гаусса»
.1
Теоретические сведения
Рассмотрим один из наиболее известных и широко применяемых прямых методов
решения систем линейных уравнений. Обычно этот метод называют методом
исключения или методом Гаусса.
Чтобы проиллюстрировать этот метод, рассмотрим сначала систему из трех
уравнений с тремя неизвестными:

В
такой системе по крайней мере один из коэффициентов ,
,
должен быть отличен от нуля, иначе бы мы имели бы дело
в этих трех уравнениях только с двумя неизвестными. Если , то можно переставить уравнения так, чтобы
коэффициент при в первом уравнении был отличен от нуля. Очевидно, что
перестановка уравнений оставляет систему неизменной: ее решение остается
прежним.
Теперь
введем множитель
.
Умножим
первое уравнение системы (4.1) на и вычтем
его из второго уравнения системы. («Первое» и «второе» уравнения берем уже
после перестановки, если она была необходима). Результат вычитания равен:
Так
как
,
фактически
исключается из второго уравнения (именно для достижения такого результата и
было выбрано значение ).
Определим
теперь новые коэффициенты
.
Тогда
второе уравнение системы приобретает вид
(4.2)
Заменим
второе из первоначальных уравнений уравнением (4.2) и введем множитель для
третьего уравнения
.
Умножим
первое уравнение на этот множитель и вычтем его из третьего. Коэффициент при снова становится нулевым, и третье уравнение
приобретает вид
(4.3)
где
.
Если
теперь в исходной системе уравнений (4.1) заменить третье уравнение на (4.3),
то новая система выглядит так:

Эти
новые уравнения полностью эквивалентны исходным уравнениям с тем преимуществом,
что входит только в первое уравнение и не входит ни во
второе, ни в третье. Таким образом, два последних уравнения представляют собой
систему из двух уравнений с двумя неизвестными; если теперь найти решение этой
системы, т.е. определить и
, то
результат можно подставить в первое уравнение и найти . Иначе говоря, задача сведена к решению системы из
двух уравнений с двумя неизвестными.
Попытаемся
теперь исключить из двух последних уравнений. Если
, то снова мы переставим уравнения так, чтобы
было отлично от нуля (если
и
, то
система вырождена и либо вовсе не имеет решения, либо имеет бесчисленное
множество решений).
Введем
новый множитель
.
Умножим
второе уравнение полученной системы (4.4) на и вычтем
его из третьего. Результат вычитания равен
В
силу выбора
.
Полагая,
что
окончательно
получим
(4.5)
Третье
уравнение полученной системы (4.4) можно заменить уравнением (4.5), после чего
система уравнений приобретает следующий вид:

Такая
система уравнений (4.6) иногда называется треугольной из-за своего
внешнего вида.
Для
решения необходимо определить из
третьего уравнения системы (4.6), подставить этот результат во второе уравнение
и определить. Полученные значения
и
подставить в первое уравнение и определить
. Этот процесс, который обычно называется обратной
подстановкой (обратный ход), определяется формулами:
(4.7)
.
Необходимо
отметить, если , то система уравнений вырождена.
Пример.
Дана
система уравнений:
Найти
решение системы уравнений.
Решение.
Легко
убедиться, что множители для второго и третьего уравнений равны 2 и 1. После
исключения из второго и из третьего уравнений, новый множитель,
исключающий из третьего уравнения, равен -2. Треугольная система
уравнений имеет вид
Из
последнего уравнения , из второго
, из
первого. Можно подставить эти значения в исходные уравнения и
убедиться, что они точно удовлетворяютcя. Теперь можно обобщить этот
метод на случай системы из n — уравнений с n-неизвестными.
Ниже записана система уравнений, приведенная к треугольному виду (4.8).

Формулы
для вычисления неизвестных (обратный ход) будут иметь вид:

4.2
Постановка задачи
Решение системы линейных алгебраических уравнений методом Гаусса
.3
Исходные данные
4.4
Блок-схема для Turbo Pascal
Рис.4.1
4.5 Текст программы
gauss;
uses crt;=4;:array[1..n,1..n+1] of
real=((4,-7,-5,-5,47),(14,-24,-6,-5,129),(0,1,4,2,-10), (2,-3,1,0,14));,i,j:integer;:real;:array[1..n]
of real;;(‘vvedite koefficienty uravnenii’);i:=1 to n doj:=1 to n+1 do(‘
‘,a[i,j]:5:2);;;k:=1 to n doj:=k+1 to n+1 do[k,j]:=a[k,j]/a[k,k];i:=1 to n
doi<>k thenj:=k+1 to n+1 do
a[i,j]:=a[i,j]-a[i,k]*a[k,j];
end;;(‘rezultat’);
for i:=1 to n do(‘x’,i,’=’,a[i,n+1]:8:3);;.
4.6
Результат программы
vvedite koefficienty uravnenii
1.00 -2.00 2.00 0.00 13.00
.00 2.00 5.00 5.00 29.00
.00 2.00 1.00 3.00 17.00= 3.000= -0.500= 4.500= 1.500
.7
Табличные вычисления MS Excel
Рис. 4.2 Excel — вычисления
Рис. 4.3. Excel — с
открытыми формулами
4.8 Анализ
Задача №6 (решение СЛАУ методом Гаусса) решена с помощью языка
программирования Turbo Pascal, причем составленная программа
позволяет решать СЛАУ с любым количеством неизвестных (здесь до 30).
Заключение
В данной курсовой работе я решил с помощью языка программирования Turbo Pascal несколько задач, входящих в камеральные работы
маркшейдера. Попутно проверял правильность написания программ в табличном
процессоре Excel. В написании программ мне помогли
знания, полученные из курса информатики и геодезии.
Библиографический
список
1.
Информатика: Программа и методические указания по выполнению курсовой работы
для студентов специальности «Маркшейдерское дело» дневной формы
обучения / Санкт-Петербургский горный ин-т. Сост.: А.П. Кондрашов, Т.Р.
Косовцева, В.В. Петров, — СПб, 2004. 51 с.











































