В текстовом редакторе MS Word набран текст с ошибками (выделены полужирным курсивом):
Команда «Найти и заменить все» для исправления всех ошибок может иметь вид …
- найти СН, заменить на СТН
- найти ЕСН, заменить на ЕСТН
- найти ЕС, заменить на ЕСТ
- найти ЕСНЫ, заменить на ЕСТНЫ
Тип вопроса: Вопрос с одним правильными вариантом
Ответ на этот вопрос уже получили: 6 раз(а)
Помогли ответы? Ставь лайк 👍
Вопрос задал(а): Анонимный пользователь, 13 Ноябрь 2020 в 15:23
На вопрос ответил(а): Анастасия Степанова, 13 Ноябрь 2020 в 15:23
2) указание интервала между строками
3) Подчеркивание фрагмента документа
4) указание отступа первой строки
41.
В Word щелчок мыши в указанном месте …
Выделит строку, рядом с которой
находится указатель мыши
42.
Текстовый процессор – это программа,
предназначенная для…
Создания, редактирования и форматирования
текстовой информации
43.
Даны операции обработки текстового
документа:
1) вырезать фрагмент документа
2) скопировать фрагмент документа
3) выделить фрагмент документа
4) вставить фрагмент документа
Чтобы ПЕРЕМЕСТИТЬ фрагмент в другое
место документа, надо произвести
операции в следующем порядке…3, 1, 4
44.
Использование разделов при подготовке
документа служит…
для изменения разметки документа на
разных страницах
45.
В MS Word
невозможно применить форматирование
к…
-
Имени файла
-
Рисунку
-
Номеру страницы
-
Колонтитулу
46.
В документе MS Word
понятие «Совокупность параметров
форматирования объекта документа,
имеющая имя» относится к определению
…
-
стиля
-
колонтитула
-
абзаца
-
раздела
47.
Задание стиля в текстовом редакторе
MS Word позволяет установить…
-
параметры форматирования блока
текста документа -
количество символов в документе
-
размер бумаги при печати документа
-
параметры страницы документа
48.
Документ MS Word состоит из 8 страниц.
Страницы с 1 по 3 и с 7 по 8 имеют книжную
ориентацию, а остальные – альбомную.
Минимальное количество разделов,
установленных в этом документе, равно…
3
4
-
В тексте будут отображаться
непечатаемые символы
9. Если нажать на пиктограмму,
выделенную красной рамкой…
50.
В текстовом процессоре MS Word список
относится к типу __________
-
Нумерованных
51.
В текстовом редакторе MS
Word набран текст с ошибками
(выделены курсивом)
КЛЕЙ СКЛЕИЛ КНИЖКИ И ИГРУЖКИ,
ОДЕЯЛА И ПОДУЖКИ,
И УЖА С ТРАВИНКОЙ.
Команда «Найти и заменить все» для
исправления ошибок может иметь вид…
-
Найти ЖКИ заменить на ШКИ
-
Найти ЖК заменить на ШК
-
Найти УЖК заменить на УШК
-
Найти Ж заменить на Ш
52.
В текстовом редакторе MS Word набран текст
с ошибками (выделены курсивом):
СЛЕЗЫ СЛИВАЮТСЯ СЛЕПЕТОМ СЛАБЫМ,
С ЛАСКОЙ СЛЕПОЮ, С ЛЕСТЬЮ СЛАЩАВОЙ.
Команда «Найти и заменить все» для
исправления всех ошибок может иметь
вид…
-
Найти СЛЕ заменить на С ЛЕ
-
Найти СЛЕПЕ заменить на С ЛЕПЕ
-
Найти СЛ заменить на С Л
-
Найти СЛЕП заменить на С ЛЕП
53.
В ряду «ячейка – строка/столбец – лист
– …» электронной таблицы Excel
пропущено понятие…
Книга
54.
Для записи в ячейки диапазона А1:А100
листа Excel арифметической
прогрессии 12, 15, 18, 21, … не набирая всю
ее целиком, необходимо…
Набрать в ячейке А1 число 12, в ячейке
А2 число 15, выделить обе эти ячейки и
протянуть маркер автозаполнения до
ячейки А100.
55.
Текст в ячейках MS Excel
по умолчанию выравнивается …
-
Справа
-
Слева
-
По ширине
-
По центру
56.
Выполнение настройки Главная-Ячейка-Формат
ячеек-Выравнивание электронной
таблицы MS Excel
2007 предназначены
-
Для отображения нескольких строк
текста внутри одной ячейки
57.
В электронной таблице MS Excel на рисунке
представлен результат операции
-
Автозаполнения
58.
Представлен фрагмент электронной
таблицы в режиме отображения формул.
Функция ОСТАТ(X;Y)
вычисляет остаток от деления Х на Y.
Значение в ячейке В3 будет равно…
-
А
В
-
3
1
3
2
2
4
3
3
=ОСТАТ(А1;А2)
-
59.
Представлен фрагмент электронной
таблицы в режиме отображения формул.
Значение в ячейке В3 будет равно…
-
А
В
-
3
1
1
2
2
2
3
=МАКС(А1:В2;А1+В2;А2+А1)
-
60.
В Excel вычислить
-
А
В
-
1,75
1
1
2
2
2
3
=СРЗНАЧ(А1:В2;А2)
-
61.
Представлен фрагмент электронной
таблицы в режиме отображения формул
-
А
В
-
5
1
1
2
2
2
0
3
=СЧЕТ(А1:В2;А2)
-
62.
«Легендой» диаграммы MS
Excel является(ются) …
-
порядок построения диаграммы (список
действий) -
руководство для построения диаграммы
-
таблица для построения диаграммы
-
условные обозначения рядов или
категорий данных
63.
Дан фрагмент электронной таблицы

После включения автофильтра и установки
фильтров по полям
Физика =4
Информатика >3
на экране будут отображены записи о
студентах…
-
Ярулева А.Ч., Минасов Ш.З.
64.
Дан фрагмент электронной таблицы
После включения автофильтра и установки
фильтров по полям
Физика >3
Информатика >3
на экране будут отображены записи о
студентах…
-
Ярулева А.Ч., Винокуров А.А., Минасов
Ш.З.
65.
Предположим, у вас есть столбец данных
в MS Excel, занимающий
несколько печатных страниц. Чтобы
задать автоматическую печать заголовков
столбцов на каждой странице необходимо
использовать последовательность
команд…
-
Файл–Параметры страницы–вкладка
Лист–в группе «Печать на каждой
странице» ввести строку, содержащую
заголовки столбцов -
Файл–Параметры страницы–вкладка
Страница–группа Печать -
Файл–Параметры страницы–вкладка
Страница–кнопка Свойства, затем ввести
требуемые параметры -
Файл–Параметры страницы–вкладка
Лист–группа Печать
66.
В ячейке электронной таблицы MS Excel
отображается значение 4,52168Е+12. Это
означает…
-
4,52168 – результат вычисления функции,
12 – допустимая погрешность -
число зашифровано
-
число представлено в экспоненциальной
форме -
число получено в результате вычисления
функции
67.
После изменения данных в каких-либо
ячейках MS Excel происходит пересчет…
-
только формул, имеющих непосредственную
ссылку на эти ячейки -
всех формул, имеющих ссылки на эти
ячейки на любой стадии цепочки ссылок -
только формул на текущем листе, со
ссылками на эти ячейки -
только формул в выделенном блоке,
имеющих ссылки на эти ячейки
68.
Изменения в структуру полей таблицы
СУБД MS Access
можно вносить в режиме…
-
конструктора
-
создания отчетов
-
написания макроса
-
автоформата
69.
Изменения в структуре базы даны в Access
произойдут при …
-
добавлении записи
-
удалении записи
-
добавлении поля
-
редактировании записи
70.
Структурой данных в реляционных
моделях являются:
-
набор отношений
-
граф
-
список
-
дерево
71.
Структура таблицы реляционной базы
данных полностью определяется …
-
числом записей базы данных
-
перечнем названий полей с указанием
значений их свойств и типов содержащихся
в них данных -
диапазоном записей базы данных
-
перечнем названий полей и указанием
числа записей базы данных
72.
Суть связывания таблиц состоит в …
-
подстановке значений заданного столбца
из дополнительной таблицы в основную -
установлении соответствия полей
связи основной и дополнительной таблицы -
подстановке значений заданного столбца
из основной таблицы в дополнительную -
установлении порядка заполнения полей
основной и дополнительной таблиц
73.
Записью в таблице реляционной базы
данных является _____ таблицы.
-
один столбец данных
-
строка заголовков
-
одна ячейка
-
одна строка данных
74.
В записи таблицы реляционной базы
данных может содержаться …
-
Только текстовая информация
-
Исключительно однородная информация
(данные только одного типа) -
Неоднородная информация (данные
разных типов) -
Только числовая информация
75.
Установите правильную последовательность
при разработке базы данных:
а
-
д, в, б, а
) разработка физической модели
б) разработка информационно-логической
модели
в) разработка концептуальной модели
д) описание предметной области
76.
Ключ к записям в БД может быть…
а) простым
б) составным
в) первичным
г) внешним
77.
Значение Поля данных, однозначно
идентифицирующее каждую запись в
таблице реляционной базы данных,
называется…
-
доменом
-
отношением
-
ключом
-
записью
78.
Запросы в базе данных Access создаются на
основе…
Таблицы базы и других запросов
79.
Специальным образом описанное требование,
определяющее состав производимых над
базой данных операций, называется…
-
ключом
-
запросом
-
формой
-
индексом
80.
«Запрос» представляет собой…
-
наглядного отображения связей между
таблицами -
представления данных таблицы в печатном
формате -
инструкцию на отбор записей из базы
данных, удовлетворяющих заданным
условиям -
ввода данных в таблицу базы данных
81.
В реляционной базе данных запись –
это…
Строка в таблице
82.
По способу доступа к базам данных СУБД
различают
-
Клиент-серверные
-
Диск–серверные
-
серверные
-
таблично серверные
83.
Языком запросов к реляционной базе
данных является…
-
C##
-
SSH
-
SQL
-
Pascal
84.
Рисунки и графики в качестве иллюстрации
в Access можно добавлять в…
-
Формы и отчеты
-
Таблицы, фильтры, отчеты
-
Отчеты, формы, макросы
-
Таблицы, запросы, отчеты
85.
Отношение находится в(во) ___ нормальной
форме в том и только в том случае, когда
находится в первой нормальной форме,
и каждый неключевой атрибут полностью
зависит от первичного ключа.
Второй
86.
В СУБД MS Access
отчеты создаются:
а) с помощью мастера отчетов
б) путем ввода данных
в) с помощью мастера таблиц
г) в режиме предварительного просмотра
д) в режиме конструктора
87.
Эффективное средство представления
данных запроса к базе MS
Access в печатном формате
– это
-
Схема
-
Форма
-
Запрос
-
Отчет
88.
При работе с файлом базы данных
современные СУБД предоставляют
пользователю возможности…
а) создания новых объектов БД
б) по демонстрации инфологической
модели
в) модификации уже существующих
объектов в БД
г) определения схемы информационных
обменов
д) переименования ранее созданных
объектов
е) дополнения функциональных возможностей
89.
Даны 2 таблицы базы данных
Поле Код сотрудника
-
является ключевым в обеих таблицах
-
является ключевым в таблице Табель
учета -
является ключевым в таблице Сотрудники
-
не является ключевым ни в одной из
таблиц
90.
Поиск данных в базе данных …
-
Определение значений данных в текущей
записи -
Процедура определения дескрипторов
базы данных -
Процедура выделения данных, однозначно
определяющих записи -
Процедура выделения из множества
записей подмножества, записи которого
удовлетворяют поставленному условию
Моделирование
1.
Метод познания, который заключается в
исследовании объекта по его модели,
называется
-
Моделированием
-
визуализацией
-
адаптацией
-
логическим выводом
2.
Модель – это совокупность свойств и
отношений между ее компонентами,
отражающая…
Существенные стороны изучаемого
объекта, процесса или явления
3.
Материальный или абстрактный заменитель
объекта, отражающий его существенные
характеристики, называется…
-
прообразом
-
моделью
-
образцом
-
представлением
4.
Описание объекта как совокупности
элементов, ранжированных по уровням
таким образом, что элементы низкого
уровня входят в состав элементов более
высокого уровня, называется
информационной моделью ….
-
Иерархический
-
Табличный
-
Графический
-
Сетевой
5.
К основным моделям данных не относится
_________ модель:
-
Сетевая
-
Нормализованная
-
Реляционная
-
Иерархическая
6.
Модель данных, в которой на верхнем
уровне есть только один узел, а любой
другой узел может быть связан только с
одним узлом на более высоком уровне,
называется…
-
Сетевой
-
Иерархической
-
Объектной
-
Реляционной
7.
По области возможных приложений модели
разбиваются на…
Универсальные – специализированные
8.
Модель и моделируемый объект должны
быть неотличимы по ____________ признакам,
которые выбираются исследователем в
зависимости от цели и задачи исследования
Существенным
9.
После анализа результатов моделирования
может произойти _____ параметров модели
уточнение
10.
Отношение «лаборатория»-«оператор»
соответствует
Предмет-субъект
11.
В отношении «объект-модель» находятся
понятия…
-
Дом – план комнат
-
Знания – оценка
-
Микромир – механика
-
Книга – абзац
12.
Пара понятий «производство – продукция»
описывается отношением…
-
процесс – результат
-
объект – модель
-
целое – часть
-
объект — субъект
13.
Родословную собаки можно представить
в виде … (Информационная модель
родословной собаки – это…)
Двоичное дерево
14.
Примером образной модели служит …
-
таблица
-
формула
-
фотография
-
программа на языке программирования
15.
Результатом процесса формализации
является ______ модель
-
Математическая
-
Вербальная
-
Описательная
-
Материальная
16.
Правильный порядок установления
соответствия в таблице моделирования
-
1
Моделируемый процесс
А
Ракета
2
Моделируемый объект
В
Исследование траектории полета
3
Цель моделирования
С
Полет ракеты
4
Моделируемые характеристики
D
Координаты местоположения в произвольный
момент времени
1C2A3B4D
17.
Верное соответствие для представленной
таблицы моделирования:
-
1
Моделируемый процесс
А
Автомобиль
2
Моделируемый объект
В
Увеличение скорости автомобиля
3
Цель моделирования
С
Движение автомобиля по трассе
4
Моделируемые характеристики
D
Форма автомобиля. Сопротивление
воздуха
1C2A3B4D
18.
Для моделирования движения идеального
маятника используется…
-
Дифференциальные уравнения
-
Методы теории вероятностей
-
Методы математической логики
-
Статистические зависимости
19.
Информационная модель родословной
собаки – это …
-
Нейронная сеть
-
Сетевая модель
-
Двоичное дерево
-
Семантическая сеть
20.
Предметными моделями являются:
а) макет автобуса
б) … кристаллическая решетка
в) электрическая схема устройства
г) таблица значений функции
21.
Эксперимент, осуществляемый с помощью
модели на ЭВМ с целью распределения,
прогноза тех или иных состояний системы,
реакции на те или иные входные сигналы
называется…
-
Вычислительным
-
Рациональным
-
Координационным
-
Статическим
22.
Формула второго закона Ньютона F=m*a
представляет собой _______ модель
-
Знаковую информационную
-
Статическую
-
Предметную
-
Реляционную
23.
Представление файлов и каталогов
является ___ моделью.
-
Иерархической информационной
-
Алгоритмической
-
Сетевой информационной
-
Табличной информационной
24.
В биологии классификация представителей
животного мира представляет собой _____
модель
-
Табличную
-
Логическую
-
Зоологическую
-
Иерархическую
25.
Степень соответствия модели исходному
объекту характеризует уровень ее…
-
Адекватности
-
Сложности
-
Противоречивости
-
Истинности
26.
Метод Монте-Карло относится к методам
____ моделирования.
Статистического
27.
Системы искусственного интеллекта
применимы для решения тех задач, в
которых…
-
имеется неопределенность информации
-
осуществляется форматирование текста
-
производится цифровая обработка сигнала
-
осуществляется обработка статистических
данных
28.
Программные комплексы, аккумулирующие
знания специалистов и тиражирующие их
эмпирический опыт для решения задач
прогнозирования, принятия решений и
обучения, называются…
-
Экспертными системами
-
Операционными системами
-
Аналитическими моделями
-
Системами управления базами данных
29.
Эвристика – неформализованная процедура,
…
-
Сокращающая количество шагов поиска
решений -
Осуществляющая полный перебор вари
антов решения задачи -
Не предназначенная для принятия решений
-
Предназначенная для ввода данных
30.
Отличительной чертой интеллектуальных
систем является …
-
Полный перебор возможных решений
-
Использование статистической обработки
данных -
Использование моделирования знаний
для решения задачи из конкретной
проблемной области -
Обязательное наличие распределенной
базы данных
Алгоритмы
1.
Значение переменной d после выполнения
фрагмента алгоритма (операция mod(x,y) –
получение остатка целочисленного
деления х на у) равно…
k:=30
выбор
-
1
при
mod(k,
12)=7: d:=k;
при mod(k,
12)<5: d:=2;
при mod(k,
12)>9: d:=3;
иначе d:=1;
все
2.
Значение переменной d после выполнения
фрагмента алгоритма (операция mod(x,y) –
получение остатка целочисленного
деления х на у) равно…
k:=70
выбор
-
3
при
mod(k,
12)=7: d:=k;
при mod(k,
12)<5: d:=2;
при mod(k,
12)>9: d:=3;
иначе d:=1;
все
3.
Значение переменной d после выполнения
фрагмента алгоритма (операция mod(x,y) –
получение остатка целочисленного
деления х на у) равно…
k:=50
выбор
-
2
при
mod(k,
12)=7: d:=k;
при mod(k,
12)<5: d:=2;
при mod(k,
12)>9: d:=3;
иначе d:=1;
все
4.
Если задан фрагмент алгоритма
если x*y*z>0
то x=2*y,
z=z-y
иначе x=x+2,
y=y+z
все
печать x, y,
z
то при заданных начальных условиях х=4,
у=-3, z=-10 после выполнения алгоритма
переменные x, y, z соответственно имеют
значения… x=
-6, Y= -3, z=
-7
5.
В результате выполнения фрагмента
БЛОК-СХЕМЫ алгоритма при вводе значений
Х, А, В, С, равных 3, 2048, 2047 и -1 соответственно,
значение Y будет равно…28
ввод Х, А, В, С
Y:=X^3+B*C+A
вывод Y
6.
Круглые скобки для вычисления значения
выражения
правильно записаны в …
((a^b)*2)+(3.456*y)
7.
Задан фрагмент алгоритма:
z=0
если x>0 то если y>0 то z=1 иначе y=2
В результате выполнения данного алгоритма
с начальными значениями x=1,
y=-1 переменная z
будет иметь значение… 0
8.
В результате выполнения фрагментов
программы
X=9
Y=7
P =X=Y
Q=Y>X
P=P AND Q
значения перемены будут равны…P=False
Q=False
9.
После выполнения фрагмента программы
X:=5
Z
-
X= TRUE X= TRUE12
:=7
вывод (“X= “, X<Z,
“ X= “, Z>X,
Z+X);
на печать будет выведено…
10.
Если задан фрагмент алгоритма с
использованием цикла с предусловием
пока < условие>
нц
выполнить действия
кц
то в теле данного цикла обязательно
содержится оператор…
изменяющий значение переменных,
относительно которых сформулировано
условие повторения цикла
11.
После выполнения алгоритма
b:=10
d:=30
нц пока d>=b
d:=d-b
кц
значение переменной d равно… 0
12.
Процедура ABCD реализует алгебраическое
выражение вида …
Процедура ABCD;
Начать
|
| писать (‘введите значение A,
B, C, D’)
| | читать (A, B,
C, D)
| |если A=B
то
| | | | если C<D
то
| | | | | | X:=1
| | | | иначе
| | | | | | X:=2
| | иначе X:=3
Конец
13.
Правильная запись выражения
на
алгоритмическом языке имеет вид …
y:=A^x+B/x^C
14.
Заданию «ввести два числа и найти их
среднее арифметическое и среднее
геометрическое и выдать результат»
соответствует алгоритм…
ввод А, В
S1:= (А+В)/2
S2:= корень
(А*В)
вывод S1, S2
15.
Задан фрагмент алгоритма:
1) если а< b, то
c=b—a
, иначе c= 2*(a—b)
2) d=0
3) пока c>a
выполнить действия d=d+1,
c=c-1
в результате выполнения данного алгоритма
с начальными значениями a=8
b=3 , переменные c
и d примут значения….
с=8, d=2
16.
Инструкция 3 в приведенном операторе
если условие 1
то инструкция 1
иначе если условие 2
то инструкция 2
иначе
инструкция 3
конец если
выполняется если…условие 1 ложно,
условие 2 ложно
17.
В представленном фрагменте программы
тело цикла выполнится …4 раза
b:=11
d:=46
нц пока d>=b
d:=d-b
кц
18.
В результате выполнения фрагмента
алгоритма
Ввод Х, А, В, С
Y:=X^A+B*sin(C)
Вывод Y
При вводе Х, А, В, С, равных 5, 2, 467 и 0
соответственно, значение Y будет равно…
25
19.
Значение Y после выполнения
алгоритма
Ввод А, В, С, Х
Y:=(А+С)/В*Х
Вывод Y
При вводе значений 10, 3, 14, 4, будет равно…32
18.
Запись выражения y=Ax2+Bx+C
на алгоритмическом языке имеет вид…
y:=A*x^2+B*x+C
20.
После выполнения фрагмента программы
a = 30
b = a/2+1
если (a<b*2) и
(b>15) то
a = a+1
иначе
а = 20
конец если
вывод а
значение переменной а равно…31
21.
В результате работы алгоритма
Y:=X-1
X:=Y+2
Y:=X+Y
Вывод Y
переменная Y приняла
значение 10. До начала работы алгоритма
значением переменной Х являлось число…5
22.
В результате выполнения алгоритма
алг «Вычисление значения
переменной р»
р:=1
i:=3
нц пока
i<=6
p:=p*i
i:=i+3
кц
вывод р
значение переменной р будет равно
…18
23.
В результате выполнения алгоритма
алг «Вывод чисел»
нц для i:=2
до 6
вывод i
кц
будут выведены числа …2, 3, 4, 5, 6
24.
Если элементы массива D[1..5]
равны соответственно 3, 4, 5, 1, 2, то значение
выражения
D[D[5]]-D[D3]]
равно…2
25.
Если элементы массива D[1..5]
равны соответственно 4, 1, 5, 3, 2, то значение
выражения
D[D[3]]-D[D5]]
равно…1
2
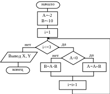
6.
Вычислить результат
-
А=-32, В=-10
27.
В результате выполнения фрагмента
блок-схемы алгоритма X и
Y примут значения…3 и
4,5
28.
В результате выполнения фрагмента
блок-схемы алгоритма a и
b примут значения….a=2,
b=2
29.
Изображенный на рисунке фрагмент
алгоритма
определяет…
-
наименьшее из чисел А и В
-
минимум из трех чисел
-
максимум из трех чисел
-
наибольшее из чисел В и С
30.
Изображенный на рисунке фрагмент
алгоритма
нет
да
нет
да
да
нет
определяет…
-
наименьшее из чисел А и В
-
минимум из трех чисел
-
максимум из трех чисел
-
наибольшее из чисел В и С
31.
В результате выполнения фрагмента
алгоритма
Элементы массива А2, А4, А6,
А8 при N=8 получат,
соответственно, значения…
-
4,16, 32,48
-
2, 4, 16, 32
-
4, 12, 24, 36
-
4, 16, 36, 64
32.
К свойствам алгоритма относятся…
-
Дискретность, детерминированность
-
Непрерывность, уникальность
-
Непрерывность, неопределенность
-
Стохастичность, уникальность
33.
Возможность применения алгоритма для
решения определенного класса задач
(определение «Пригодность алгоритма
для решения определенного класса задач»)
относится к свойству алгоритмов, которое
называется …
-
Массовость
-
Дискретность
-
Определенность
-
Выполнимость
34.
Программа – это…
алгоритм, записанный на языке
программирования
35.
Передача входных данных при вызове
подпрограммы осуществляется с помощью…
-
параметров
-
специальных операторов
-
специализированных модулей
-
файлов
36.
Набор операторов, выполняющих заданное
действие и не зависящих от других частей
исходного кода, называется …
-
подпрограммой
-
разделом программы
-
параметрами программы
-
телом программы
37.
Данные входят в состав команд компьютера
в виде…
Операндов
38.
Массив относится к _____ типам данных
Составным
39.
Верным является высказывание, утверждающее
что…
-
Элементы массива могут иметь разные
типы -
К элементу массива невозможно получить
доступ по номеру -
Доступ к элементу массива осуществляется
по имени массива и номеру элемента -
Элементы массива автоматически
упорядочиваются по возрастанию
40.
Понятие «переменная» в традиционных
языках программирования называется…
-
Именованная область памяти, в которую
записано некоторое значение -
Любое законченное минимальное смысловое
выражение на языке программирования -
Служебное слово на языке программирования
-
Описание действий, которые должна
выполнять программа
41.
В основе объектно-ориентированного
подхода лежит понятие…
-
Иерархии классов
-
формализации свойств
-
декомпозиции объектов
-
рекурсии
42.
Методика анализа, проектирования и
написания приложений с помощью классов,
каждый из которых является целостным
фрагментом кода и обладает свойствами
и методами, называется ……….
программированием.
-
объектно-ориентированным
-
формальным
-
структурным
-
модульным
43.
Понятия «инкапсуляция» относится к …
-
технологии объектно-ориентированного
программирования (прав) -
технологии императивного программирования
-
технологии структурного программирования
-
технологии модульного программирования
44.
Инкапсуляция в объектно-ориентированном
программировании означает возможность…
-
определения интерфейса (спецификации)
методов и их реализации -
реализации соответствия «один модуль
– один объект» -
заключения в отдельный модуль процедур
работы с объектом -
создания специальных программ,
реализующих изменение состояния объекта
45.Свойством
ООП, которое может быть смоделировано
с помощью таксонометрической
классификационной схемы (иерархии)
является
-
Наследование
-
Полиморфизм
-
Инкапсуляция
-
Управление событиями
46.
Основными понятием объектно-ориентированного
программирования являются…
Наследование, Полиморфизм,
Инкапсуляция
47.
Объектно-ориентированный подход к
программированию использует следующие
базовые понятия:
а) инкапсуляции
б) данные
в) модель
г) объект
д) свойство
е) метод обработки
ж) событие
з) класс объектов
-
г, д, е, ж, з
-
а, д, з
-
а, д
-
только д, е, ж, з
48.
Методом в объектно-ориентированном
программировании является…
-
Процедура, реализующая действия
(операции) над объектом -
Журнал изменений состояния объекта
-
Атрибут, объединяющий объекты в классы
-
Визуальное свойство объекта
49.
Классом в объектно-ориентированном
программировании является…
-
Диапазон значений
-
Матрица ненулевых элементов
-
Множество объектов, имеющих общее
поведение и общую структуру -
Переменная
50.
Преемственность в иерархии объектов
происходит в процессе…
-
наследования
-
полиморфизма
-
инкапсуляции
-
вызова соответствующего метода
51.
Порождение иерархии объектов происходит
в процессе …
-
наследования
-
полиморфизма
-
инкапсуляции
-
вызова соответствующего метода
52.
В объектно-ориентированном программировании
каждый объект по отношению к своему
классу является …
-
Кодом
-
Экземпляром
-
Функцией
-
Методом
53.
Концепция полиморфизма в
объектно-ориентированном программировании
означает возможность использования…
-
многозначных функций
-
разных функций с одним и тем же именем
в разных классах -
нескольких переменных в определении
одного класса -
одинаковых функций с разными именами
54.Цвет
фона в окне Windows с точки
зрения объектно-ориентированного
программирования это — …
-
Класс
-
Метод
-
Свойство
-
Объект
55.
Структурное программирование еще
называют программированием без…
GO TO
56.
Главная идея структурного программирования
состоит в том, что…
-
используется инкапсуляция и наследование
объектов -
структура системы описывается в терминах
объектов и связей между ними, а поведение
системы – в терминах обмена сообщениями
между объектами -
при написании программ не используются
подпрограммы -
основными для написания программ
являются три типа операторов: линейный,
ветвление, организация цикла
57.
Основой метода структурного программирования
являются:
а) принцип модульности разработки
сложных программ
б) использование композиции трех
базовых элементов – линейной, ветвления
и циклической структур
в) использование композиции двух базовых
элементов – ветвления и циклической
структур
д) использование большого количества
подпрограмм
58.
Программирование, основанное на модульной
структуре программного продукта и
типовых управляющих структурах
алгоритмов, называется…
-
Логическим
-
Рекурсивным
-
Структурным
-
Объектно-ориентированным
59.
Модульная структура программы отражает
одну из особенностей ______ программирования
Структурного
60.
В структурном программировании нет
принципа…
-
минимизация количества команд …,
размера программы -
использование подпрограмм
-
использование базовых алгоритмических
структур -
решение задачи «сверху вниз»
61.
К основополагающим принципам структурного
программирования не относятся …
-
разбиение проекта на модули, каждый из
которых имеет один вход и один выход -
достижение абсолютного минимума
символов и строк в тексте программы -
логика программы допускает только три
основные алгоритмические структуры:
следования, ветвления и повторения -
программирование сверху вниз
62.
При структурном подходе к составлению
программ могут использоваться понятия:
а) альтернативный выбор
б) цикл
с) подпрограмма
д) наследование
63.
Проектирование программ путем
последовательного разбиения большой
задачи на меньшие подзадачи соответствует…
-
нисходящему («сверху-вниз») проектированию
-
объектно-ориентированному проектированию
-
восходящему («снизу-вверх») проектированию
-
концептуальному моделированию
64.
Программирование сверху вниз – это …
-
Процесс пошагового разбиения алгоритма
на все более мелкие части с целью
получения таких элементов, для которых
можно написать конкретные команды -
Исследование древовидной модели
пространства решений и ориентация на
поиск оптимального решения -
Метод сведения трудной задачи к
последовательности более простых -
Процесс, при котором от начального
предположения осуществляется движение
по направлению к лучшим решениям
65.
Пошаговая детализация постановки
задачи, начиная с наиболее общей проблемы,
характеризует…
-
метод верификации
-
метод проектирования «от частного к
общему» -
метод последовательной декомпозиции
сверху-вниз -
поиск логической взаимосвязи
66.
Правильная последовательность этапов
разработки ПО …

1-Е, 2-Д, 3-В, 4-Г, 5-Б, 6-А
67.
Этапы создания программных продуктов
в порядке следования:
а) проектирование
б
-
д, а, в, г, б
) документирование
в) кодирование
г) тестирование
д) анализ задачи
68.
При разработке программного продукта
описание последовательности действий,
ведущих к решению поставленной задачи,
относится к этапу _______ (называется)
-
Выбора метода решения задачи
-
Разработки алгоритма
-
Кодирования программы
-
Анализа и формализованного описания
задачи
69.
На этапе отладки программы…
-
проверяется корректность работы
программы -
определяется состав входных данных
-
выполняется анализ физических
характеристик -
строится математическая модель решаемой
задачи
70.
Обнаруженное при откладке программы
нарушение формы записи программы
приводит к сообщению о(б) _____________ошибке.
-
Синтаксической
-
Орфографической
-
Тематической
-
Грамматической
71.
Исходными данными работы транслятора
является…
-
Текст программы на языке программирования
высокого уровня -
Текст программы в машинных кодах
-
Комментарий к программе
-
Сообщение об обнаруженных в программе
ошибках
72.
Режим интерпретации можно использовать…:
-
при откладке программ на языке высокого
уровня -
для изменения семантики языка
программирования -
для компоновки программ на языке
высокого уровня -
для изменения синтаксиса языка
программирования
73.
Компилятор используется при программировании
на языке…
-
Высокого уровня
-
Сверхуровня
-
Естественном
-
Машинных команд
74.
Программа-компилятор …
-
переводит целиком исходный текст
программы в машинный код -
осуществляет выполнение программы
-
формирует файл программы на языке
высокого уровня -
записывает машинный код в форме
загрузочного файла
75.
Способ записи программ, допускающий их
непосредственное выполнение на ЭВМ,
называется ____ языком программирования.
машинным
76.
Транслятор, который осуществляет перевод
исходной программы в эквивалентную ей
результирующую программу на языке
машинных команд, называется…
-
Компилятором
-
машинным кодом
-
ассемблером
-
интерпретатором
77.
Обязательным критерием качества
программных систем является…
-
Надежность
-
Мобильность
-
Универсальность
-
Легкость применения
78.
Языком сценариев является…
-
Lisp
-
Perl
-
Алгол
-
Ada
79.
Одним из представителей языков описания
сценариев является…
-
PROLOG
-
JAVASCRIPT
-
PASCAL
-
FORTRAN
80.
Языком логического программирования
является
-
LIPS
-
Fortran
-
Assembler
-
Prolog
81.Для
системного программирования используется
язык программирования…
-
ADA
-
C
-
PHP
-
Java
Сети, вирусы
1.
Схема соединения узлов сети называется
____________ сети:
-
протоколом
-
топологией
-
маркером
-
доменом
2.
Организация коммуникаций вычислительной
системы называется…
-
разметкой
-
масштабируемостью
-
топологией
-
коммуникационным диаметром
3.
Топология сети определяется…
-
структурой программного обеспечения
-
типом кабеля, используемого для
соединения компьютеров в сети -
характеристиками соединяемых рабочих
станций -
способом соединения узлов сети
каналами (кабелями) связи
4.
Представленная на рисунке сеть
соответствует
топологии…
-
смешанной
-
комета
-
звезда
-
полносвязной
5.
Представленная на рисунке сеть
соответствует топологии…
-
Смешанная
6.
Какой топологии сети не существует
-
снежинка
-
звезда
-
шина
-
кольцо
7.
Представленная на рисунке сеть
соответствует топологии …
-
полносвязная
-
общая шина
-
звезда
-
треугольник
8.
Сетевым протоколом является…
-
программа
-
набор программ
-
набор правил
-
инструкция
9.
Протокол IMAP используется
для…
-
Согласования доменных имен
-
Для поиска информации на поисковых
серверах -
Доступа к почтовому серверу
-
Доступа к интернет-страницам
10.
Комбинация стандартов, топологий и
протоколов для создания работоспособной
сети называется…
-
сетевой морфологией
-
сетевой архитектурой
-
прагматикой сети
-
семантикой сети
11.
Стандарты, определяющие формы представления
и способы пересылки сообщений, процедуры
их интерпретации, правила совместной
работы различного оборудования в сетях,
— это …
-
сетевые стандарты
-
сетевые терминалы
-
сетевые программы
-
сетевые протоколы
12.
Протокол в сети Интернет – это …
-
служба Интернет
-
правила, по которым осуществляется
обмен информацией -
гиперссылка на Web-страницу
-
браузер
13.
Передача данных по протоколу TCP/IP
осуществляется…
-
непрерывным потоком
-
пакетами
-
блогами
-
узлами
14.
Передача данных в информационных
системах происходит с помощью определенных
соглашений, которые называются…
-
протоколами обмена
-
адаптерами
-
утилитами
-
контроллерами
15.
HTTP- это ….
-
имя протокола сети, обслуживающего
прием гипертекста -
система адресов доменов, содержащих
Web- документы -
система адресов гипертекстовых архивов
-
IP-адреса компьютеров,
содержащих Web- архивы
16.
Выделенная курсивом часть электрон.
адреса http://www.google.com/inf02000/det123.htm
обозначает…
-
Протокол связи с удаленным компьютером
-
Имя удаленного компьютера
-
Имя файла на удаленном компьютере
-
Иерархию доменов, в которой располагается
удаленный компьютер
17.
Выделенная курсивом часть электронного
адреса ресурса http://google.com/ud0200/net123.html
(http://www.google.com/inf02000/det123.html)
обозначает…
-
имя файла на удаленном компьютере
-
имя удаленного компьютера
-
иерархию доменов, в которой располагается
удаленный компьютер -
протокол связи с удаленным компьютером
18.
В адресе URL:
http://www.if—art.com/pgallery/aperson.html
часть www.if-art.com
указывает на …
-
доменное имя сервера
-
имя файла ресурса
-
путь к файлу на сервере
-
протокол передачи гипертекста
19.
Часть адреса http://www.osp.ru/archlit/77.htm,
являющаяся адресом host
компьютера…
www.osp.ru
20.
Выделенная курсивом часть электро.
адреса http://www.google.com/inf02000/det123.html
обозначает…
-
Местоположение документа на удаленном
компьютере -
Имя удаленного компьютера
-
Протокол связи с электронным компьютером
-
Имя файла на удаленном компьютере
21.
Местоположение файла на сервере описывает
такая часть электронного адреса ресурса
http://www.google.com/inf02000/det123.html,
как …
-
/inf02000/
-
http://www.google.com/
-
www.google.com
-
det123.html
22.
Адресом электронной почты является…
-
mail.ru@egorov/mail
-
http://gov.nicola
-
avgust@basa.mmm.ru/ivanov/mail
-
avgust@basa.mmm.ru
23.
Верным является утверждение, что…
-
электронное письмо модно отправлять
сразу всем, указав адрес «*» -
в электронное письмо можно вкладывать
файлы -
электронное письмо одновременно можно
послать только одному адресату -
электронное письмо может содержать
только текст
24.
Верными являются следующие утверждения:
В поисковой машине в строке поиска набрано слово «экономика», а после завершения поиска набрана фраза «линейное программирование» и установлен флажок в поле «Поиск в найденном». В результате…
(*ответ*) из раздела «экономика» будут выбраны ресурсы, в которых встречается фраза «линейное программирование»
будут выбраны только те ресурсы, в которых встречается фраза «линейное программирование»
будут выбраны только те ресурсы, в которых встречается слово «экономика»
из раздела «линейное программирование» будут выбраны ресурсы, в которых встречается слово «экономика»
В программе MS PowerPoint для изменения дизайна слайда использует(ют)ся
(*ответ*) шаблоны оформления
форматирование ячеек
разностные схемы
цифровые гаммы
В реляционной базе данных поле – это
(*ответ*) столбец в таблице
строка макроса
отдельная таблица
строка в таблице
В среде СУБД Access используются следующие виды организации форм:
(*ответ*) на основе таблицы и на основе запроса
на основе отчетов
на основе других форм
только основе одной таблицы
В СУБД Microsoft Access различают типы ключей…
(*ответ*) вторичный
(*ответ*) первичный
троичный
индивидуальный
В СУБД Microsoft Access различают типы структур данных…
(*ответ*) реляционная
(*ответ*) иерархическая
информационная
сетевая
растровая
В СУБД Microsoft Access существуют типы запросов…
(*ответ*) запрос на выборку
(*ответ*) перекрестный
запрос на описание
Запрос SQL
В СУБД MS Access могут использоваться следующие виды запросов: а) перекрёстные, б) промежуточные, в) на добавление, г) на выборку, д) на восстановление
(*ответ*) а, в, г
б, г, д
а, б, в
а, в, д
В СУБД MS Access отчёты создаются: а) с помощью мастера отчётов, б) путем ввода данных, в) с помощью мастера таблиц, г) в режиме предварительного просмотра, д) в режиме конструктора
(*ответ*) а, д
в, д
а, г
б, в
В СУБД формирование выходного документа в удобном для просмотра виде осуществляется в режиме
(*ответ*) отчета
запроса
таблицы
формы
В текстовом редакторе MS Word стиль документа это:
(*ответ*) внешний вид документа, начиная с заголовка
набор используемых шрифтов в тексте
формат абзаца и формат символов
только формат абзаца
В текстовом редакторе набран текст с ошибками (выделены курсивом): НАБИВАЙТЕ ВСЕ ПОДРЯД СИНЯКИ И ШИШКИ, ЛИШ БЫ ШЛИ У ВАС НА ЛАД ТЕМНЫЕ ДЕЛИШКИ. Команда «Найти и заменить все» для исправления всех ошибок может иметь вид
(*ответ*) Найти ЛИШ Б заменить на ЛИШЬ Б
Найти ИШ заменить на ИШЬ
Найти Ш заменить на ШЬ
Найти ЛИ заменить на ЛИШЬ














